
A New Discoveries Concerning Sub-Photon Particles: Cidtonium, Irenium and Ilitonium In the Universe
It was believed that the universe consisted of four fundamental elements: Earth, Wind, Water, and Fire. Over time, human knowledge evolved, revealing that the universe is composed of smaller components known as molecules. Molecules are further divided into atoms, which consist of electrons, protons, and neutrons.
Saleh Research Group proposes that subatomic particles are themselves composed of even smaller constituents termed Photons. [1-9]
An analysis of elemental atomic masses reveals that hydrogen has an atomic number of one. As the number of protons, neutrons, and electrons increases—thereby increasing the atomic mass—the density also increases.
Calculations indicate that planet Earth, as a collection of primary elements, has a density of approximately 5.5 × 103 Kg⁄m3 . Similarly, the Sun and the Moon possess specific densities.

Considering the celestial objects, White dwarfs are composed of dense collections of protons, while magnetars consist of neutrons within a very small volume, resulting in extremely high density.

The formation of a white dwarf or a magnetar requires novae or supernovae explosions. Under extreme pressure, impact, and heat, the standard atomic structure collapses. This elimination of the vacuum between the nucleus and the electrons allows protons or neutrons to be packed tightly together.
In fact, the empty space between the nucleus and the electrons no longer exists, and white dwarfs or magnetars are formed by the combination of protons or neutrons, and this high density (5 × 1017 Kg⁄m 3) has been created.
Defining the nature of Black Holes and the Big Bang phenomenon requires consideration of their immense densities:

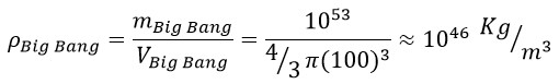
If the initial volume of the Big Bang were assumed to be approximately the size of a football pitch, the resulting density would be:

Given the densities of white dwarfs and magnetars below 1020 Kg⁄m3 compared to black holes 1020 Kg⁄m3 to 1030 Kg⁄m3 and the Big Bang 1040 Kg⁄m3 to 1050 Kg⁄m3 , it is posited that if black holes-maintained photon characteristics, such densities would be unattainable. Instead, the photon structure collapses into its constituent particles, Cidtonium [10]. This elimination of internal spatial gaps allows Cidtonium, Irenium and Ilitinium particles to aggregate, initiating black hole or Big Bang formation.
Sub-Photon: Cidtonium
Sub-Cidtonium: Irenium
Sub- Irenium: Ilitinium
Notice:
Observation of the night sky reveals luminous points which, through powerful telescopes, are identified as galaxies containing billions of stars, spanning thousands of light-years, and hosting numerous planetary systems. Just as atoms (with a variety of over a hundred types) have subatomic particles, it is proposed that the photon in the micro-universe consists of its own sub-photons. It is plausible that both macro and micro scales comprise diverse internal structural layers.
References:
[1] Saleh, Gh. " A New Explanation for the Photon, a New Atom." Saleh Theory, 26 May 2025, https://saleh-theory.com/article/a-new-explanation-for-the-photon-a-new-atom
[6] Saleh, Gh. "Structure of Neutron." Saleh Theory, 20 Oct. 2017, https://www.saleh-theory.com/article/structure-of-neutron
[7] Saleh, Gh. "Structure of Proton." Saleh Theory, 18 Sep. 2017, https://www.saleh-theory.com/article/structure-of-proton
[8] Saleh, Gh. "The Actual and Realistic Structure of Electron." Saleh Theory, 08 Aug. 2017, https://www.saleh-theory.com/article/the-actual-and-realistic-structure-of-electron
[9] Saleh, Gh. "Discovery of a New Atom." Saleh Theory, 16 Jan. 2019, https://www.saleh-theory.com/article/discovery-of-a-new-atom
[10] Saleh, Gh. "Photon as a New Atom, Cidtonium as an Atom of Photon." Saleh Theory, 19 Jun. 2025, https://saleh-theory.com/article/photon-as-a-new-atom-cidtonium-as-an-atom-of-photon
Articles