
A Simple and Fluent Explanation of the Big Bang (Pre-Big Bang, Onset, Mid-Term, and End) in the Universe, Utilising Mathematical and Physical Equations, Logic, and Philosophy
Part A) Explanation of the Beginning, Middle, and End of the Big Bang
Part B) Explanation of Before the Big Bang
Part A) Explanation of the Beginning, Middle, and End of the Big Bang
At first glance, if the surrounding universe is observed, it is seen that natural satellites orbit planets, planets orbit stars, and stars orbit the central black hole of their galaxy. This means that the universe is a periodic system, such that in periodic times (days, years, etc.), natural satellites, planets, and stars return to their original positions.
In fact, it can be said that the motion of the universe is a periodic rotational motion, like an electron that orbits its central nucleus; many years pass, but the structure of the periodic circular motion remains established.
For such a phenomenon as the Big Bang, the principle of circular and periodic motion suggests that the Big Bang or the entire universe could be imagined as undergoing such motion. This is a simple and fluent explanation that can be taken as a description of the Big Bang. However, undoubtedly, the Big Bang phenomenon at a specific point had a very high density, which has a mathematical and physical motion model in the form of two general motions.
Therefore, in the initial explosion, a linear motion and a rotational motion can be defined for it in a general state.
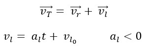
Total motion = Linear motion + Rotational motion
Total Velocity = Linear Velocity + Rotational Velocity
In fact, the linear velocity of a natural phenomenon can be described by second- and third-degree equations, as written above. However, rotational motion can be inferred from Hubble’s law. If Hubble’s law is equated with rotational velocity, it can be shown that rotational motion is equivalent to Hubble’s law, and Hubble’s law is equivalent to rotational motion. Since both linear and rotational velocities are present in motion, the following equations can be considered. In fact, these equations describe the initial motion, initial velocity, and initial acceleration, as well as the final motion, final velocity, and final acceleration.
1. The Linear and Rotational Motions of the Universe
The linear motion (vl) is the result of the initial explosion and is said to decrease over time with negative acceleration. The velocity of particles decreases with increasing distance from the centre (similar to the explosion of a grenade, whose shrapnel does not travel to infinity), as there was an initial energy and no further linear energy is added to the system.

But the rotational motion (vr), however, is described as permanent and increasing. This is said to be confirmed by Hubble's law, which is interpreted here as representing the tangential speed and angular speed of the universe.

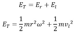
2. The Law of Conservation of Energy and Dark Energy
The total energy of the Big Bang is said to be the sum of linear and rotational energies. As the linear energy decreases, the rotational energy increases, which is proposed to explain the observed cosmic acceleration.

It is argued that scientists, having previously considered only linear motion in their models, observed that celestial objects' velocities increase over time, and the more distant they are, the faster they recede (according to Hubble's law). In response, they sought a "missing energy" to account for this acceleration, which they named dark energy.
However, by considering rotational energy and positing that Hubble's law represents tangential speed, it is suggested that dark energy is in fact the rotational energy, whose significance increases as linear energy decreases. Therefore, dark energy is defined as the total energy at the moment of the Big Bang minus the linear energy, which equals the previously overlooked rotational energy.

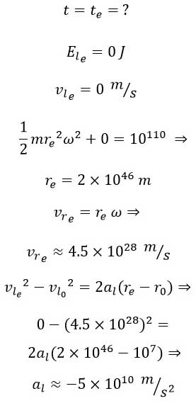
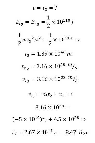
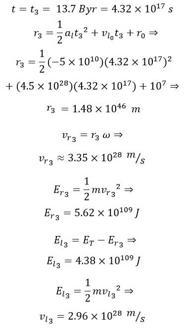
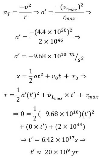
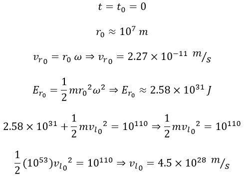
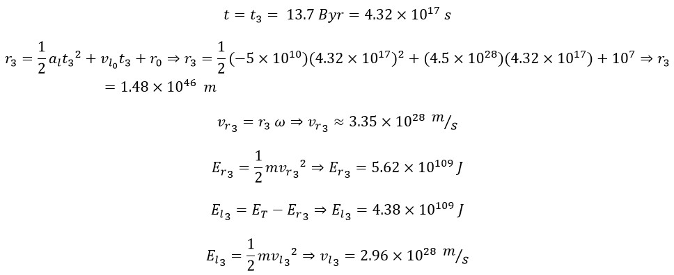
3. Calculated Tables of the Physical Parameters of the Universe
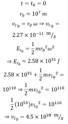
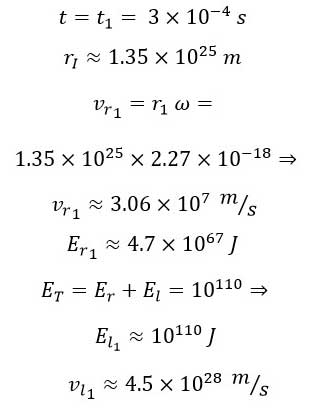
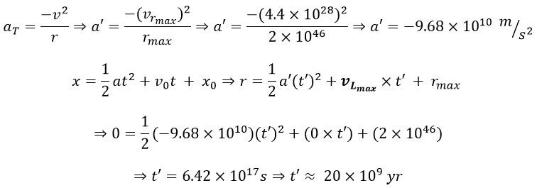
Using the principle of conservation of energy and the Monte Carlo method, the physical parameters of the universe (radius, velocity, energy) at key stages—from the Big Bang and the inflationary epoch to the present and its eventual end—have been calculated. It is predicted that the universe will reach zero linear velocity and maximum rotational energy approximately 29 billion years after the Big Bang.
At the moment of the Big Bang, the contribution of rotational energy was negligible and could be ignored. Therefore, at the time of the Big Bang, the total energy can be considered to arise entirely from linear motion:

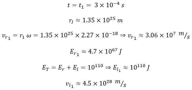
In the previous article, using the density of the universe, we have calculated the radius of the universe (r1)at the end of the inflationary phase. Thus, we have:

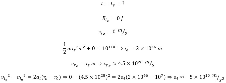
As indicated—and as discussed in previous articles—over time, the amount of linear energy decreases, and an equivalent amount is added to the rotational energy. This implies that at the end of the universe’s outward trajectory, when it reaches its maximum radius, all the energy will be converted into rotational energy, and the linear energy will reduce to zero.

This represents the average deceleration that reduces the linear velocity (and consequently the linear energy). Thus, in linear motion, we observe a motion with constant negative acceleration.

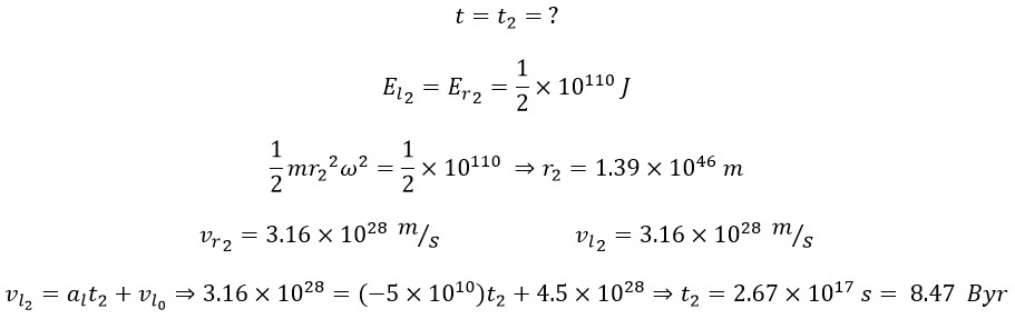
Next, we examine the time when the rotational and linear energies are equal:

We now proceed to analyse the physical parameters of the universe at present.


It is predicted that the universe will reach a linear stop point in approximately 29 billion years, at which time its rotation will be at a maximum, and a reverse cycle will begin.

4. The Universe's Return and Repeating Cycles
The universe is presented as cyclic, returning to its starting point every 50 billion years, much like a compressed spring or the orbital motions of planets. These cycles of expansion and contraction are said to repeat, with the universe continuously expanding and then contracting.
According to the above equations and the two relations, it can easily be shown that the Big Bang phenomenon has a beginning and an end. At its end, the linear velocity becomes zero, and the rotational velocity reaches its maximum, and the cycle of returning to the starting point is performed again.
Part B) Explanation of Before the Big Bang
Given that the Big Bang possesses enormous energy, the origin of this energy can be considered as the collision of primordial masses at a specific point. This is why the explosive energy of the Big Bang results from the collision of these fundamental particles, where the reaction force caused the release of the initial Big Bang energy. In fact, it can be said that the Big Bang resulted from the collision of primary particles in the time before the Big Bang.
References:
[1] Gandolfi, Stefano, J. Carlson, and S. Reddy. “Maximum Mass and Radius of Neutron Stars, and the Nuclear Symmetry Energy.” Physical Review C, vol. 85, no. 3, 2012, p. 032801.
[2] Saleh, Gh. "Everything About the Big Bang, From its Beginning to its End." Saleh Theory, 10 Aug. 2025, https://saleh-theory.com/article/everything-about-the-big-bang-from-its-beginning-to-its-end
[3] Saleh, Gh. "Novel and Innovative Physics Equations for the Modern Era Part D) Astronomy." Saleh Theory, 03 Aug. 2025, https://saleh-theory.com/article/novel-and-innovative-physics-equations-for-the-modern-era-br-part-d-astronomy
[4] Saleh, Gh. "Calculation of Energy Conservation Equations Utilizing Linear and Rotational Energy in the Universe." Saleh Theory, 14 Jun. 2025, https://saleh-theory.com/article/calculation-of-energy-conservation-equations-utilizing-linear-and-rotational-energy-in-the-universe
[5] Saleh, Gh. "New Computational Table of Physical Parameters for the Moments of Beginning, Inflation, Present, and End of the Universe 2025." Saleh Theory, 29 Jan. 2025, https://saleh-theory.com/article/new-computational-table-of-physical-parameters-for-the-moments-of-beginning-inflation-present-and-end-of-the-universe-2025






