logo
A Simple and Fluent Explanation to Demonstrate Hubble's Experimental Physical Law and the Redshift and Blueshift Phenomena Using a Computational and Mathematical Model in the Universe
03 February 2026
Share :

A Simple and Fluent Explanation to Demonstrate Hubble's Experimental Physical Law and the Redshift and Blueshift Phenomena Using a Computational and Mathematical Model in the Universe

In the figure below, a long rod is shown that is fixed at one point at the end and can rotate clockwise.

A Simple and Fluent Explanation to Demonstrate Hubble's Experimental Physical Law and the Redshift and Blueshift Phenomena Using a Computational and Mathematical Model in the Universe

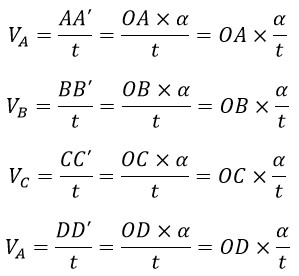
If the rod rotates by α degrees, the distance travelled by any marked point on the rod can be easily derived using the following relations:

A Simple and Fluent Explanation to Demonstrate Hubble's Experimental Physical Law and the Redshift and Blueshift Phenomena Using a Computational and Mathematical Model in the Universe

It clearly shows, points “A”, “B”, “C”, “D”, etc. are in a linear direction and along each other, and the changes in the distance of these points relative to each other are zero, and also the rotation angle for all these points is the same “α”. To calculate the velocities of these different points:

speed is equal to the distance travelled divided by the time, so:

A Simple and Fluent Explanation to Demonstrate Hubble's Experimental Physical Law and the Redshift and Blueshift Phenomena Using a Computational and Mathematical Model in the Universe

And so on.

It is obvious that the speed of these points depends on the parameter of their distance from the centre of rotation. That is, the ratio of the speed of point “A” to the speed of point “B”, so:

A Simple and Fluent Explanation to Demonstrate Hubble's Experimental Physical Law and the Redshift and Blueshift Phenomena Using a Computational and Mathematical Model in the Universe

According to the figure and calculations, it is clearly demonstrated that the main parameter and variable are the distances of the points from the centre of rotation. In fact, if an observer is located at point “O” and observes the points mentioned, the speed will vary from point to point, and the greater the distance from our centre, the greater the speed at that point.

Now, if the Universe and its points that are approximately aligned relative to each other in the same direction (as in the calculations made in Hubble's law) are considered, it can be clearly seen that along the direction of linear motion, the points or galaxies show very little linear change. In fact, the main parameter in the changes in the speed of the observed galaxies is the effect of their rotational motion relative to the point “O”. So, it can be said, that there are not large and very strong changes in the linear direction, and these changes are very small, but the changes in speed along the rotation can be so great that they show the phenomenon of blueshift or redshift. This phenomenon occurs when the speed changes of galaxies are a multiple of the speed of light “C”.

Conclusion:

The Universe has both linear motion (slowing down) and rotational motion (Hubble's law). But to compare these two motions, it should be said that the changes of speed in the linear direction are very small. Actually, the redshift and blueshift phenomena are due to the rotational motion of the Universe.

References:

[1] Sachs, Mendel. "The Hubble law and the spiral structures of galaxies from equations of motion in general relativity." International Journal of Theoretical Physics 14.2 (1975): 115-135.

[2] Saleh, Gh. "New Discoveries About Hubble's Law." APS Prairie Section Meeting Abstracts. 2023.

[3] Saleh, Gh. "Hubble's Law or the Rotational Speed of the Universe Calculation." APS Texas Sections Fall Meeting Abstracts. 2023.

[4] Saleh, Gh. "New Proof to Confirm the Correct Law, Hubble's law, Using Physical and Mathematical Laws." APS New England Section Fall Meeting Abstracts. 2023.

[5] Saleh, Gh. "The justification of the sphericity and the rotation of the Universe by Hubble's law." American Astronomical Society Meeting Abstracts. Vol. 55. No. 2. 2023.

[6] Saleh, Gh, M. J. Faraji, and R. Alizadeh. "A new explanation for Redshift/Blueshift." APS New England Section Fall Meeting Abstracts. 2021.

[7] Saleh, Gh. "Sphericity and rotation of the universe and the Hubble's law." IAU General Assembly (2022): 2476.

[8] Saleh, Gh. "New Discoveries about Hubble's Law." Saleh Theory, 07 Jun. 2022, https://www.saleh-theory.com/article/new-discoveries-about-hubbles-law

Publish Date 03 February 2026
A Simple and Fluent Explanation to Demonstrate Hubble's Experimental Physical Law and the Redshift and Blueshift Phenomena Using a Computational and Mathematical Model in the Universe Download PDF

Articles

New Explanation for Cidtonium, Basic of Photon and Equations Between Cidtonium and Photon

New Explanation for Cidtonium, Basic of Photon and Equations Between Cidtonium and Photon

02 February 2026 Read more
Simple and Robust Confirmation of the Real Velocity of Light (V<sub>photon</sub> = C = 3.3 c) Based On Experiments of MIT and the University of Michigan

Simple and Robust Confirmation of the Real Velocity of Light (Vphoton = C = 3.3 c) Based On Experiments of MIT and the University of Michigan

04 February 2026 Read more
Saleh Theory Articles in Saleh Theory articles indexed in:
NASA/ADS Read more
Google Scholar Read more