
New Discoveries Concerning the Origin, Nature, and Equations of Dark Energy
Part A) A Simple and Clear Explanation of Dark Energy Based on the Initial Energy (Big Bang Energy) in the Universe
Part B) Strong Reasons for Understanding the Nature and Equations of Dark Energy
I. Hubble's Law
II. The Principle of Conservation of Energy in the Universe
Part A) A Simple and Clear Explanation of Dark Energy Based on the Initial Energy (Big Bang Energy) in the Universe
An examination of the elements of Earth reveals over a hundred different types, each possessing specific physical and chemical properties. However, their fundamental nature and structure are the same. Although some elements exist as gases, liquids, or solids and undergo specific chemical reactions, their building blocks are the protons, neutrons, and electrons. When one hydrogen atom fuses with another hydrogen atom, a new element, helium, is formed. Moreover, if helium and hydrogen unite in a fusion process, a subsequent element, lithium, is produced.
The primary location for the production of the lighter elements is undoubtedly the stars, where the fusion of hydrogen with itself and other elements generates new elements. Stars, and their subsequent explosions, are the elemental production factories of the cosmos. As stars reach the end of their lifespan, massive explosions create and disperse new elements.
The acceptance of the Big Bang model suggests an enormous explosion occurred at a singular point of extremely high density. This event marked the beginning of celestial objects, including stars and other bodies. The Big Bang is, in effect, the initial source of all gases, stars, and everything currently observed, forming all particles and gases as the universe expanded. All energies and forces were contained within the Big Bang. As the universe expanded, various forces, such as magnetism and gravity, revealed themselves. If an initial source is to be proposed for a currently unseen energy, such as dark energy, this source can only be the initial energy—the energy of the Big Bang itself. It can therefore be stated that just as all forces, energies, and celestial objects originated from the Big Bang, the essential nature of dark energy is an inherent part of that initial event. Consequently, by adopting a scientific and investigative approach—similar to how elements are discovered and celestial objects are classified and named—different forms of energy can also be identified. A rigorous examination allows for the determination of dark energy's nature, effects, and equations, since its source is understood.
Conclusion:
Based on the preceding explanations, it is reasonable to assert that a missing energy, such as dark energy, has an origin. This origin is the primordial Big Bang, from which all forces and energies derive. Therefore, not only matter but also dark energy finds its source in the Big Bang.
Part B) Strong Reasons for Understanding the Nature and Equations of Dark Energy
I. Hubble's Law
If a motion equation is to be written for the initial Big Bang, two main types of motion are present:
1. Rotational motion
2. Linear motion
The linear motion can be described by accelerated equations (with negative acceleration) of the second degree or higher.
The rotational motion, however, can generally be expressed by the following equation for rotational speed:

This equation can be clearly aligned with Hubble's Law, which is written as:

In this law and its equation, it is clearly established that:
“D” is the distance of the celestial objects from the centre of the universe,
“H” is the constant, with a unit of inverse seconds (s-1).
By establishing a one-to-one correspondence between the two equations:

The one-to-one correspondence reveals that the equation for rotational motion is equivalent to Hubble's Law, and Hubble's Law is the rotational motion equation of the universe.

The energy can be calculated based on this rotational speed.
II. The Principle of Conservation of Energy in the Universe
This principle simply and clearly states that energy in the universe is neither created nor destroyed; it merely transforms from one form to another.
If the Big Bang's motion is both linear and rotational, then at the time of the explosion, the maximum linear speed is present, which decreases over time. Conversely, as mentioned above, the rotational speed increases over time because the radius (R) of the universe expands, which contributes to the rotational speed.
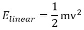
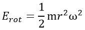
The equation for linear energy is:

The equation for rotational energy is:

The Principle of Total Energy Conservation states:

Therefore, the total energy is always equal to the sum of the linear and rotational energies.
References:
[1] Hubble, Edwin. "A relation between distance and radial velocity among extra-galactic nebulae." Proceedings of the national academy of sciences 15.3 (1929): 168-173.
[2] Saleh, Gh. "Everything About Dark Energy and Dark Matter and Their Equations in the Universe." Saleh Theory, 16 Aug. 2025, https://saleh-theory.com/article/everything-about-dark-energy-and-dark-matter-and-their-equations-in-the-universe
[3] Saleh, Gh. "Derivation of Equations of Dark Energy's Energy Based on Physics Relations and Hubble's Law 2025." Saleh Theory, 06 Apr. 2025, https://www.saleh-theory.com/article/derivation-of-equations-of-dark-energys-energy-based-on-physics-relations-and-hubbles-law-2025
[4] Saleh, Gh. "New Discoveries about the Source of Dark Energy, Its Nature, and More: Based on the Initial Energy of the Universe (Big Bang), Hubble's Law, and Its Governing Mathematical and Physical Equations (2025)." Saleh Theory, 10 Jan. 2025, https://www.saleh-theory.com/Article/new-discoveries-about-the-source-of-dark-energy-its-nature-and-more-based-on-the-initial-energy-of-the-universe-big-bang-hubbles-law-and-its-governing-mathematical-and-physical-equations-2025
[9] Saleh, Gh. "Solving the problem of Dark Energy and Dark Matter by Reviewing the Basic Laws of Physics." Saleh Theory, 26 Jun. 2020, https://saleh-theory.com/article/solving-the-problem-of-dark-energy-and-dark-matter-by-reviewing-the-basic-laws-of-physics
Articles