
A Clear Explanation of the Approximate Volume of the Big Bang and Its Density in the Universe
In the analysis of an atom, a nucleus is observed at the centre, with electrons orbiting around it. For every element, a specific atomic radius exists, which is certainly a constant value. Essentially, a fixed "identity card" can be defined for each element, containing constant parameters such as volume, mass, density, and so on.
Consider a white dwarf: it is defined as a structure composed of a collection of protons situated close together. This creates a relatively small sphere with a high density. Generally, since the material is made of protons, the density of a white dwarf can be estimated to fall within a specific range (around 1017).
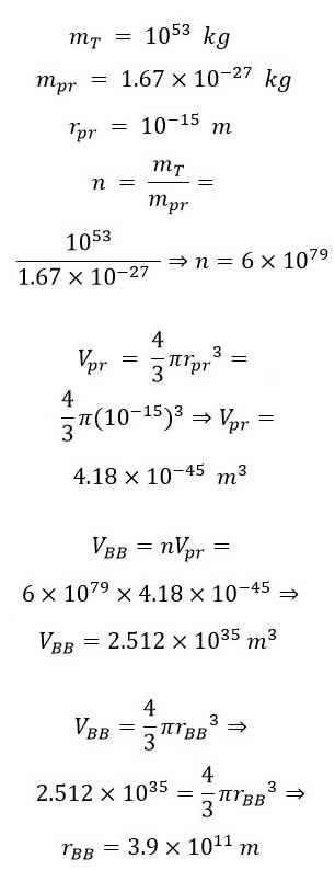
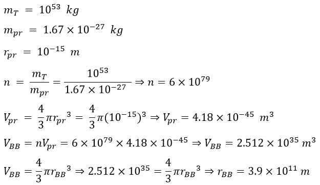
Essentially, this form of matter consists of protons gathered together. A problem arises when attempting to define the primary matter for the Big Bang. If the building blocks were protons or neutrons—and considering the mass of the universe is approximately 1053 kg—the result would be a sphere with a radius roughly the distance from the Earth to Jupiter.
If the Big Bang is thought to be made of protons, neutrons, or even photons, it results in a massive sphere, which requires a different definition for the Big Bang. Therefore, based on the explanation above, a particle must be defined that is significantly smaller than a photon.
If we consider the proton as the basis of the Big Bang, the radius of the Big Bang is as follows:

If we consider the neutron as the basis of the Big Bang, the radius of the Big Bang (rBB) is about 3.9 × 1011 m too.
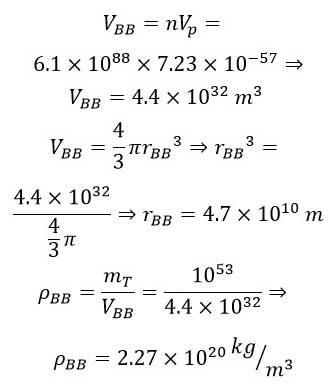
If we consider the photon as the basis of the Big Bang, the radius of the Big Bang is as follows:

To calculate the number of photons constituting the mass of the Big Bang, one need simply divide the total mass of the universe by the mass of a single photon.

Furthermore, this approach allows us to calculate the volume, radius, and density of the mass of Big Bang, assuming it is composed of photons.

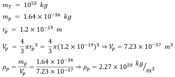
The structure of the photon must be theoretically broken down to define a particle—Cidtonium—with a radius approximately one-millionth to one-billionth that of a photon. These particles can then sit together to create the required density.
In this case, the characteristics of the Big Bang mass—such as extreme compression, high density, and very small volume—are explained and justified. Given the high density of the Big Bang, a particle can be expected to resemble an atom that has lost its structure. Just as atoms break down into fundamental particles like electrons, protons, and neutrons, these particles would no longer have a stable atomic arrangement but would exist as a standalone collection.
If photons are viewed as having a structure like an atom, breaking it down yields Cidtonium particles (between one-millionth and one-billionth the size of a photon). With the high density of Cidtonium, the huge mass and tiny volume of the Big Bang can be defined.
If the Cidtonium particle is defined as described above, the initial volume of the Big Bang explosion would be between the volume of the Moon and the Earth. Consequently, the definition of the Big Bang as having infinite density, volume approaching zero, and mass approaching infinity becomes a weak definition.
References:
[1] Hawking, Stephen William. "The occurrence of singularities in cosmology." Proceedings of the Royal Society of London. Series A. Mathematical and Physical Sciences 294.1439 (1966): 511-521.
[2] Saleh, Gh. "A New, Simple, and Clear Explanation for the Existence of the New Particle ‘Cidtonium’ Based on the Density of Black Holes and the Big Bang in the Universe." Saleh Theory, 24 Aug. 2025, https://saleh-theory.com/article/a-new-simple-and-clear-explanation-for-the-existence-of-the-new-particle-cidtonium-based-on-the-density-of-black-holes-and-the-big-bang-in-the-universe
[3] Saleh, Gh. "Everything About the Big Bang, From its Beginning to its End." Saleh Theory, 10 Aug. 2025, https://saleh-theory.com/article/everything-about-the-big-bang-from-its-beginning-to-its-end
[4] Saleh, Gh. "New Discoveries About the Earliest Universe (Big Bang 2025)." Saleh Theory, 12 Feb. 2025, https://saleh-theory.com/article/new-discoveries-about-the-earliest-universe-big-bang-2025
[5] Saleh, Gh. " Calculation of the Volume and Density of the universe sphere at the Big Bang moment ."
[6] Saleh, Gh. " Accurate Calculation of the Volume and Density of the Big Bang ." APS Meeting Abstracts. 2022.



