logo
Simple and Robust Confirmation of the Real Velocity of Light (V<sub>photon</sub> = C = 3.3 c) Based On Experiments of MIT and the University of Michigan
04 February 2026
Share :

Simple and Robust Confirmation of the Real Velocity of Light (Vphoton = C = 3.3 c) Based On Experiments of MIT and the University of Michigan

Max Planck proposed his law of the relationship between energy and wavelength in 1900. This law states that radiation of different wavelengths has a linear relationship with energy, but scientists at the Massachusetts Institute of Technology and Michigan State University have shown that this law is only true over long distances and on large scales, and is violated at short distances. The experiment was conducted by researchers at MIT and has recently been repeated by researchers at the University of Michigan. Using a metal surface, a very small glass surface and an atomic force microscope, they were able to measure the temperature changes that are exchanged between these two objects with very high precision. In this way, they found that at a distance of 10 nanometers, heat transfer can be up to a hundred times greater than predicted by Planck's law. But no explanation has been given for this. To explain, the motion of a photon will be reviewed.

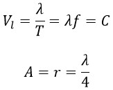
Given that the birthplace or genetrix of a photon is an excited electron orbiting the nucleus, and the excitation of the electron causes the emission of photons, the photon will have a linear motion due to this emission. The linear velocity of the photon (Vl) can be calculated using the following equations:

Simple and Robust Confirmation of the Real Velocity of Light (Vphoton = C = 3.3 c) Based On Experiments of MIT and the University of Michigan

Where λ is the wavelength, T is the period, f is the frequency, and A is the amplitude of the wave. These equations represent linear velocity and are obtained by dividing the linear distance travelled λ by the time travelled in a period of T. In fact, it has calculated the linear velocity in a linear path.

Simple and Robust Confirmation of the Real Velocity of Light (Vphoton = C = 3.3 c) Based On Experiments of MIT and the University of Michigan

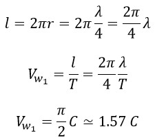
But it also has a wave motion due to the orbital motion of the electron around the nucleus. To calculate the wave path, or the curved path of electromagnetic waves, it proceeds as follows:

Simple and Robust Confirmation of the Real Velocity of Light (Vphoton = C = 3.3 c) Based On Experiments of MIT and the University of Michigan

Where l is the length of the path travelled and Vw1 is the wave velocity. The result of combining these two linear and rotational motions is the creation of a helical motion as shown in the following:

Simple and Robust Confirmation of the Real Velocity of Light (Vphoton = C = 3.3 c) Based On Experiments of MIT and the University of Michigan

If it looked closely, the photon has two different velocities. This difference is both in terms of the appearance of the equations and in terms of the value obtained. In fact, it can be said that these two velocities (linear and wave-like) are images of the helical velocity, and it can be calculated the constant velocity can be calculated. Cnew 1 of the helical, which is the vector product of these two perpendicular velocities, as follows:

Simple and Robust Confirmation of the Real Velocity of Light (Vphoton = C = 3.3 c) Based On Experiments of MIT and the University of Michigan

Where Cnew 1 is the velocity of the photon in the large helix (first), which is the basic velocity of electromagnetic waves.

But the electron, apart from rotating around the central nucleus of the atom, also has a rotational motion around itself, which causes another helical motion. This helix (second) is smaller compared to the first one. Therefore, when a photon is emitted from an electron, the photon will have a large helical path (first) and a small helical path (second).

Simple and Robust Confirmation of the Real Velocity of Light (Vphoton = C = 3.3 c) Based On Experiments of MIT and the University of Michigan

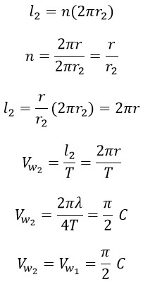
According to the figure, the total velocity in the first and second helical paths can be calculated as follows:

Simple and Robust Confirmation of the Real Velocity of Light (Vphoton = C = 3.3 c) Based On Experiments of MIT and the University of Michigan

Where l2 is the length of the path travelled in the small helical, n is the number of photon rotations in the small helical in one complete revolution of the large helical, r2 is the radius of the small helical, and Vw2 is the wave velocity of the small helical.

And both rotational velocities are parallel. So:

Simple and Robust Confirmation of the Real Velocity of Light (Vphoton = C = 3.3 c) Based On Experiments of MIT and the University of Michigan

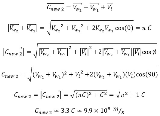
According to the figure, the total velocity (Cnew 2) in the two large (first) and small (second) helical paths of a photon can be obtained from the following equations:

The total velocity is equal to the sum of the helical velocity of the two paths plus the linear velocity

Simple and Robust Confirmation of the Real Velocity of Light (Vphoton = C = 3.3 c) Based On Experiments of MIT and the University of Michigan

As mentioned, photons (electromagnetic waves) have several intertwined helical paths:

Simple and Robust Confirmation of the Real Velocity of Light (Vphoton = C = 3.3 c) Based On Experiments of MIT and the University of Michigan

The left part of the figure above shows the motion of a simple photon (electromagnetic wave) with no additional effects, but the right part shows a helical path that is the result of two paths of motion, a large helix and a small helix. In fact, it can be said that the second (small) helical broadens the first (large) helix. This phenomenon, which is observed in various experiments and is called broadening, is itself proof of the existence of such helicals.

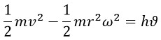
Now, the photon energy can be calculated using the obtained velocity, and then the energy expected from the Planck energy formula used in the calculations of MIT and the University of Michigan. According to the Saleh Theory, the mass of photons is equal (m = 1.64 ×10 -36 kg) and their velocities are also constant, therefore, the product of one-half the mass and the square of the velocity, which is the initial kinetic energy of the photon (1/2 mv2) at the moment t=0 is a constant value. At t=0, this energy is equal for all electromagnetic wave spectra, but due to the difference in the radius of rotation in the helical path in different spectra based on Saleh Theory, the consumed rotational energy is different. (1/2 mr2 ω2) is different. Therefore, the transmission energy of photons, which is the same value obtained in Max Planck's law hϑ, is a specific, distinct value for each spectrum at different frequencies.

Simple and Robust Confirmation of the Real Velocity of Light (Vphoton = C = 3.3 c) Based On Experiments of MIT and the University of Michigan

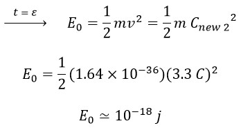
In fact, it can be said that although different amounts of energy are considered for photons with different frequencies, at time t=0 or t=ε the amount of energy for all of them is equal since there is no rotational motion at that time:

Simple and Robust Confirmation of the Real Velocity of Light (Vphoton = C = 3.3 c) Based On Experiments of MIT and the University of Michigan

Therefore, the final velocity of the photon, which is the same velocity as the nested helical (v = Cnew 2), can be used to calculate the initial energy:

Simple and Robust Confirmation of the Real Velocity of Light (Vphoton = C = 3.3 c) Based On Experiments of MIT and the University of Michigan

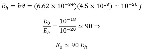
Now calculate the energy for the infrared spectrum ϑ = 4.5 × 1013 Hz using Planck's law:

Simple and Robust Confirmation of the Real Velocity of Light (Vphoton = C = 3.3 c) Based On Experiments of MIT and the University of Michigan

Considering the two values of initial energy E0 and frequency-dependent energy, or the energy predicted by Planck's law Eh, it can be said that the energy obtained at initial times or, equivalently, at short distances after the photon emission is approximately 90 times of the energy obtained from Max Planck's law, and the most of the energy of the photon emitted from the electron is consumed in the helical motion.

On the other hand, as explained at the beginning, physicists at the University of Michigan, by violating Max Planck's law for short distances in the laboratory, demonstrated that the energy transferred at very short distances (less than 10 nm) can be a hundred times greater than the energy predicted by Planck's law. In fact, it can be said that the MIT and University of Michigan experiments, using these explanations, are acceptable, and this is a confirmation of the accuracy of the University of Michigan experiment and the calculations of the Saleh Research Group. In other words, the explanations of this article confirm the experiment, and the experiment confirms the explanations.

Notice: In calculating the ratio of the initial kinetic energy of a photon to the experimental energy of Max Planck, all parameters are constant, and our main variable is only the frequency. Since the frequency in electromagnetic waves has a very wide range, this ratio will change a lot. But in some ranges, the resulting value shows us a number that is higher than reality.

References:

[1] Chandler, David L. “Breaking the Law, at the Nanoscale.” MIT News | Massachusetts Institute of Technology, news.mit.edu/2009/heat-0729 . Accessed 29 July 2009.

[2] Thompson, Dakotah, et al. " Hundred-fold enhancement in far-field radiative heat transfer over the blackbody limit. " Nature 561.7722 (2018): 216-221.

[3] Saleh, Gh. "A New Proof of Photon Velocity () Utilising Mathematical Equations, Physical Laws and the Experiments of MIT and Michigan University in the Universe 2025 Part A." Saleh Theory, 26 Apr. 2025, https://saleh-theory.com/article/a-new-proof-of-photon-velocity-vsubtsub-33-c-utilising-mathematical-equations-physical-laws-and-the-experiments-of-mit-and-michigan-university-in-the-universe-2025-part-a

[4] Saleh, Gh. "New Discoveries About the Speed of Electromagnetic Waves 2024 Part A." Saleh Theory, 12 Oct. 2023, https://www.saleh-theory.com/article/new-discoveries-about-the-speed-of-electromagnetic-waves-2024-part-a

[5] Saleh, Gh. "New Discoveries About the Speed of Electromagnetic Waves 2024 Part B." Saleh Theory, 30 Oct. 2023, https://www.saleh-theory.com/article/new-discoveries-about-the-speed-of-electromagnetic-waves-2024-part-b

[6] Saleh, Gh. "New Discoveries About the Speed of Electromagnetic Waves 2024 Part C." Saleh Theory, 06 Nov. 2023, https://www.saleh-theory.com/article/new-discoveries-about-the-speed-of-electromagnetic-waves-2024-part-c

[7] Saleh, Gh. "New, Marvelous and Revolutionary Discoveries About Photon." Saleh Theory, 07 Sep. 2023, https://www.saleh-theory.com/article/new-marvelous-and-revolutionary-discoveries-about-photon

[8] Saleh, Gh. "A Revolution in Light Theory." Saleh Theory, 11 Apr. 2017, https://www.saleh-theory.com/article/a-revolution-in-light-theory

Publish Date 04 February 2026
Simple and Robust Confirmation of the Real Velocity of Light (V<sub>photon</sub> = C = 3.3 c) Based On Experiments of MIT and the University of Michigan Download PDF

Articles

A Simple and Fluent Explanation to Demonstrate Hubble's Experimental Physical Law and the Redshift and Blueshift Phenomena Using a Computational and Mathematical Model in the Universe

A Simple and Fluent Explanation to Demonstrate Hubble's Experimental Physical Law and the Redshift and Blueshift Phenomena Using a Computational and Mathematical Model in the Universe

03 February 2026 Read more
New Discoveries on Photon Energy Discrepancies, Their Physical Interpretation, and the Construction of Thermal Telescopes Based on the Universally Valid Planck Equation and the Saleh Simple Experiment

New Discoveries on Photon Energy Discrepancies, Their Physical Interpretation, and the Construction of Thermal Telescopes Based on the Universally Valid Planck Equation and the Saleh Simple Experiment

09 February 2026 Read more
Saleh Theory Articles in Saleh Theory articles indexed in:
NASA/ADS Read more
Google Scholar Read more