
A New Calculation for the Energy of Celestial Objects Based on Helical Motion
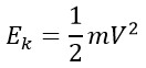
Since all celestial objects—from the smallest natural satellites to the largest galaxies—possess helical motion, their helical velocity must be considered as the true and actual velocity in their energy calculations. In classical mechanics, kinetic energy is defined as follows:

However, this definition is only accurate when the path of motion is a simple straight or circular path. However, in cosmic reality, no object moves in a perfectly linear or circular path; instead, it is always traversing a spiral or helical path resulting from the combination of multiple rotational and translational motions.
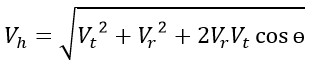
Therefore, to correctly calculate the kinetic energy of a celestial object, its helical path vector must first be determined. This path is the result of combining two velocity components:
Tangential velocity (Vt)
Translational velocity along the axis of motion (Vr)

In this case, the effective helical velocity of the object is obtained by the following relation:

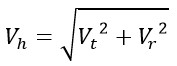
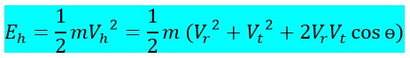
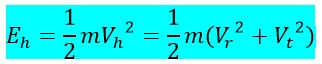
And for the special case of a symmetric helical motion (θ=90)

And the helical kinetic energy (actual) is equal to:

And in the special case (θ=90)

Therefore, the helical energy (Eh) signifies the total kinetic energy of the object, including both rotational and translational components. This new definition allows for a more precise analysis of the dynamics of cosmic systems and can serve as a basis for calculating the total energy of star systems, galaxies, and even the large-scale structure of the cosmos.
References:
[1] Oks, E. "Stable conic-helical orbits of planets around binary stars: analytical results." The Astrophysical Journal 804.2 (2015): 106.
[2] Couprie, Dirk L. "The Spiral Movement of the Sun on an Imaginary Cylinder According to Empedocles and Anaximander." Philologia Classica 15.1 (2020): 4-24.
[3] Gutzwiller, Martin C. "Moon-Earth-Sun: The oldest three-body problem." Reviews of Modern Physics 70.2 (1998): 589.
[4] Rovšek, Barbara. "Trajectory of the Moon around the Sun." Physics Education 59.4 (2024): 045016.
[5] Kryukov, N., and E. Oks. "Conic-helical motion in the three-body problem: Star-planet-moon systems and relativistic effects in binary-star-planet Systems." J Astrophys Aerospace Technol 5.144 (2017): 2.
[6] Saleh, Gh. " A New and Simple Explanation for the Why and How of the Helical Motion of Celestial Objects, from the Smallest (Natural Satellites) to the Largest (Galaxies), in the Universe." Saleh Theory, 20 Oct. 2025, https://saleh-theory.com/Article/a-new-and-simple-explanation-for-the-why-and-how-of-the-helical-motion-of-celestial-objects-from-the-smallest-natural-satellites-to-the-largest-galaxies-in-the-universe
[7] Saleh, Gh. "Simple Proof of the Helical Motion of Universal Matter: From Subatomic Particles to Celestial Objects." Saleh Theory, 13 Oct. 2025, https://saleh-theory.com/Article/simple-proof-of-the-helical-motion-of-universal-matter-from-subatomic-particles-to-celestial-objects
[9] Saleh, Gh. "A New Explanation for the Helical Motion of Celestial Objects (Moons, Planets, Stars, Galaxies, etc.) in Relation to the Einstein-Rosen Wormhole Theory in the Universe." Saleh Theory, 20 Sep. 2025, https://saleh-theory.com/article/a-new-explanation-for-the-helical-motion-of-celestial-objects-moons-planets-stars-galaxies-etc-in-relation-to-the-einstein-rosen-wormhole-theory-in-the-universe
[10] Saleh, Gh. "A New Explanation for the Helical Motion of Galaxies Based on a Hubble Telescope Image (Observer's View) in the Universe." Saleh Theory, 01 Sep. 2025, https://saleh-theory.com/article/a-new-explanation-for-the-helical-motion-of-galaxies-based-on-a-hubble-telescope-image-observers-view-in-the-universe
Articles