
A Revolution in the Design and Manufacture of Spacesuits Utilising Gravitational Wave Frequency and the Miniature Liquid Super-Battery (Liquid Electron Tank)
Part A) Unlimited Telecommunications and Power Supply
Part B) Continuous Suit Heating and Cooling Control
Part C) Sustainable Oxygen Supply
Part D) The Utilisation of Gravity and Anti-Gravity Boots (Positive and Negative Gravity)
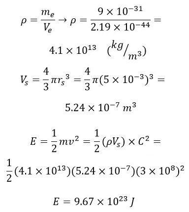
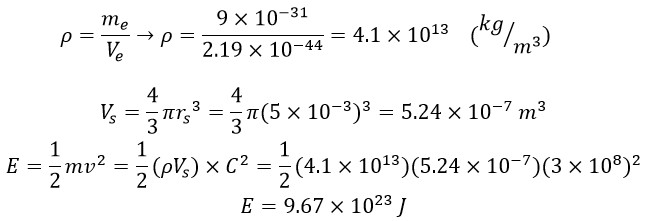
Consider a sphere, similar to a marble, approximately 1 cm in diameter. If we could contain a high density of electrons within this volume in a highly reliable superinsulator, it would essentially be a compact container capable of storing an extremely large amount of energy. According to calculations, the following relations can be derived:


Where ρ, me and Ve are electron density, mass and volume and Vs, rs are the volume and radius of electron tank sphere and E is the total energy.
Part A:
Given the compact volume and exceptionally high energy density, we can design the spacesuit and the astronaut's telecommunication equipment based on the Gravitational Wave frequency.
This design ensures that the communication device's signal strength—both relative to the primary (mother) receivers and in relation to others—is highly stable. Furthermore, communication will be continuously maintained in all directions and locations, rendering a communication breakdown meaningless.

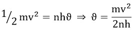
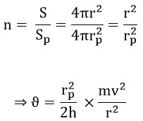
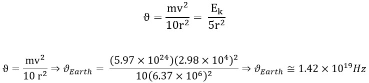
As we said, “n” is the number of force lines passing through the surface of the sphere, so we have:

The value of the left side of the relation is constant as:

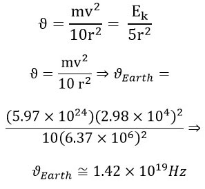
And finally the gravitational frequency will be equal to:

Part B:
Given that the space environment can experience extremely high or low temperatures, this high reserve of electron energy can be utilised to provide long-term heating and cooling for thermal regulation of the suit. This allows the suit to sustain a comfortable internal microclimate for the astronaut over extended periods of time. Essentially, it enables the creation of a stable, continuous climate control system within the spacesuit.
Part C:
Considering the ease of converting Carbon Dioxide (CO2) into Oxygen and Carbon, a device can be incorporated into the spacesuit. This device would continuously transform the CO2 from the astronaut's breathing into oxygen, maintaining a consistent oxygen level within the suit's environment for many hours.
Part D:
Given the substantial energy that a Miniature Liquid Super-Battery (Liquid Electron Tank) can produce, coils can be strategically positioned within astronauts' spacesuits. By passing electrical current through these coils, fields can be generated in specific directions that either align with or oppose the ambient fields present in space, thereby enabling the creation of the required gravitational or anti-gravitational effects.
References:
[1] Saleh, Gh. "A Revolution in Design and Manufacture of Telecommunication Devices Based on the Newfound Frequency of Gravitational Waves and Its Numerous Benefits, in the Universe 2025." Saleh Theory, 01 Sep. 2025, https://saleh-theory.com/article/a-revolution-in-design-and-manufacture-of-telecommunication-devices-based-on-the-newfound-frequency-of-gravitational-waves-and-its-numerous-benefits-in-the-universe-2025
[2] Saleh, Gh. "Novel Gravitational Frequency Calculation and Its 10 Applications in Industry." Saleh Theory, 12 Jul. 2025, https://saleh-theory.com/article/novel-gravitational-frequency-calculation-and-its-10-applications-in-industry
[3] Saleh, Gh. "What is an Electron Tank and Its 10 Diverse Applications in the Universe?." Saleh Theory, 12 Jul. 2025, https://saleh-theory.com/article/what-is-an-electron-tank-and-its-10-diverse-applications-in-the-universe
[4] Saleh, Gh. "The Design and Manufacture of Wrist Phones Utilizing Nano-Scale Electron Tanks and Gravitational Waves (Unlimited Charging, Global Coverage, Reliable and Seamless Satellite Connectivity, ...)." Saleh Theory, 23 Feb. 2025, https://www.saleh-theory.com/article/the-design-and-manufacture-of-wrist-phones-utilizing-nano-scale-electron-tanks-and-gravitational-waves-unlimited-charging-global-coverage-reliable-and-seamless-satellite-connectivity
Articles

